-
Global
-
Africa
-
Asia Pacific
-
Europe
-
Latin America
-
Middle East
-
North America
- |
- BUSINESSES
- |
- Contact
- |
-
Global
-
Africa
-
Asia Pacific
-
Europe
-
Latin America
-
Middle East
-
North America
- |
- BUSINESSES
- |
- Contact
- |
You are browsing the product catalog for
You are viewing the overview and resources for
- News
- Honeywell Sets Another Record For Quantum Computing Performance
Honeywell Sets Another Record For Quantum Computing Performance
The System Model H1 becomes the first to achieve a demonstrated quantum volume of 1024
Honeywell Quantum Solutions has set another record for the performance of its trapped ion quantum computing technology.
The 10-qubit System Model H1 recently achieved a quantum volume of 1024, the highest measured to date. It is the third time in 10 months the System Model H1 has eclipsed its own record for quantum volume, a measure of the overall capability and performance of a quantum computer.
The System Model H1 debuted in September 2020 with a then-record quantum volume of 128. Honeywell quadrupled its performance to reach a quantum volume of 512 in March 2021 and then doubled it again to 1024 this month.
Tony Uttley, president of Honeywell Quantum Solutions, attributed the increase in performance to the continuous upgrades to the system.
“We are always fine tuning our system and making improvements,” he said. “Our goal always has been, and continues to be, to have the highest-performing quantum computer available.”
How we did it
The System Model H1 operations have continued to improve since it was first released.
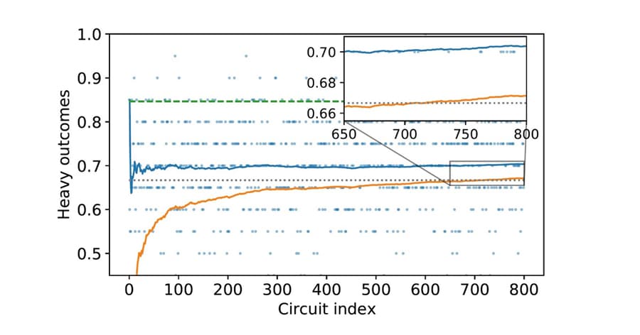
The average single-qubit gate fidelity for this milestone was 99.99(1)%, the average two-qubit gate fidelity was 99.72(6)%, and state preparation and measurement (SPAM) fidelity was 99.70(5)%. We ran 800 circuits with 20 shots each, using standard QV optimization techniques to yield an average of 108.59 two-qubit gates per circuit.
The System Model H1 successfully passed the quantum volume 1024 benchmark, outputting heavy outputs 70.36% of the time, which is above the 2/3 threshold with 98.90% confidence.

The plot above shows the heavy outputs for Honeywell Quantum Solutions’ tests of quantum volume and the dates when each test passed. All tests are above the 2/3 threshold to pass the respective Quantum Volume benchmark. Circles indicate heavy outcome averages and the violin plots show the histogram distributions. Data colored in blue show system performance results and red points correspond to modeled, noise-included simulation data. White markers are the lower 2-sigma error bounds.

The plot above shows the individual heavy outputs for each Quantum Volume 1024 run. The blue line is an average of heavy outputs and the orange line is the lower 2-sigma error bar which crosses the 2/3 threshold after 707 circuits.
Honeywell’s quantum systems are accessible directly and through ecosystem partner platforms, including Microsoft’s Azure Quantum, Cambridge Quantum Computing’s tket™ Zapata Computing’s Orquestra®, and the Strangeworks QC™ platform. In addition to offering high-fidelity, fully connected qubits, our system features a unique combination of mid-circuit measurement with qubit reuse and conditional logic, which enables users to explore new classes of algorithms and to greatly reduce the number of qubits needed for certain algorithms.
For more information about getting started accessing our system, please contact QuantumSolutions@Honeywell.com.
Copyright © 2026 Honeywell International Inc.